Гидроаккумуляторы Wester
Гидроаккумулятор Wester предназначен для стабилизации рабочего давления в системах холодного и горячего водоснабжения.
Предотвращает возникновение гидроударов и постоянное включение-отключение насоса.
Гидроаккумулятор для систем водоснабжения Wester объёмами от 100 литров имеет ещё один штуцер для фиксации мембраны.
К нему можно подсоединить реле давления, манометр, автоматический клапан отведения воздуха или установить заглушку.
Изделия от 750 литров комплектуются манометром.
Модели WAV 50-1000 оснащены стойками, модели WAO - опорами и оборудованы площадкой для установки насоса. Модели WAV 8-35 опорных ножек не имеют и монтируются на стену.
При монтаже следует отрегулировать давление. Оно должно быть на 0,2 – 0,3 атм. ниже того значения, по которому включается насосное оборудование. Если оно выше, то необходимо стравить лишний воздух через ниппель. В обратной ситуации следует подкачать обыкновенным автомобильным насосом до требуемого значения.
Мембранный бак для систем водоснабжения Wester модификации WAO может использоваться совместно с поверхностным насосом следующих мощностей:
Серия WAV может использоваться в комплекте с погружными насосами таких же мощностей.
Предотвращает возникновение гидроударов и постоянное включение-отключение насоса.
Устройство
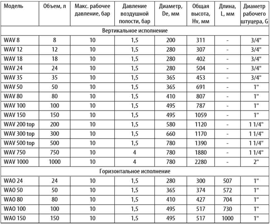
Мембранный бак для водоснабжения Wester выпускается двух серий:- WAV для горизонтальной установки объёмами 8-10 000 л;
- WAO для вертикальной установки объёмами 24-150 л.
- корпус, изготовленный из стали и окрашенный порошковой краской в синий цвет;
- мембрана, находящаяся внутри корпуса. Она выполнена из EPDM (синтетическая этиленпропиленовая резина высокой прочности), при необходимости легко заменяется;
- латунный ниппель, используемый для закачивания или стравливания воздуха;
- фланец стальной с цинковым покрытием, в котором имеется штуцер для подключения к магистрали, служит также для крепления мембраны к корпусу. В зависимости от модели располагается сверху или снизу.
Гидроаккумулятор для систем водоснабжения Wester объёмами от 100 литров имеет ещё один штуцер для фиксации мембраны.
К нему можно подсоединить реле давления, манометр, автоматический клапан отведения воздуха или установить заглушку.
Изделия от 750 литров комплектуются манометром.
Модели WAV 50-1000 оснащены стойками, модели WAO - опорами и оборудованы площадкой для установки насоса. Модели WAV 8-35 опорных ножек не имеют и монтируются на стену.
Применение
Температурный режим составляет 1-100 °С. Рабочее давление 10 атм. Изначально воздух, закачанный в воздушную полость изделий до 500 литров, имеет давление 1,5 атм., в изделиях больших объёмов - 4 атм. Баки от 200 литров могут изготавливаться в особом исполнении 16 и 25 атм.При монтаже следует отрегулировать давление. Оно должно быть на 0,2 – 0,3 атм. ниже того значения, по которому включается насосное оборудование. Если оно выше, то необходимо стравить лишний воздух через ниппель. В обратной ситуации следует подкачать обыкновенным автомобильным насосом до требуемого значения.
Мембранный бак для систем водоснабжения Wester модификации WAO может использоваться совместно с поверхностным насосом следующих мощностей:
- не более 1000 Вт для моделей до 24 л;
- более 1000 Вт от 50 до 100 л;
- более 1500 Вт от 100 л и выше.
Серия WAV может использоваться в комплекте с погружными насосами таких же мощностей.
Характеристики



























































































































